2024年11月13日,广州理工学院太阳成集团tyc33455《高等数学》课程组全体教师于惠州校区3栋308室,成功举办了课堂教学研讨会,会议主要以“学期考试命题方向”和“青年教师教学问题解答”为议题。此次活动旨在深入探讨学期考试的命题策略,提高期末考试及格率,并为青年教师搭建课堂教学疑难解答平台。全体教师的积极参与使得现场气氛热烈,讨论深入。

首先,主持会议的课程组组长肖黎明教授,针对“学期考试的命题方向”这一主题,详细阐述了学期考试的题型设置要求。试题主要包括选择题、填空题、判断题、证明题和计算题等五大题型,旨在全面考查学生的基础知识和应用能力。肖教授强调,命题需紧扣教学大纲,均衡覆盖知识点,整体考试题目类型设计与往年类似。每个教师需帮助学生梳理知识点,设置复习题,助力学生全面复习,以提高学生期末考试的合格率。会议的第二个议题“青年教师教学问题解答”,多位资深教授齐聚一堂,针对青年教师们提出的多个教学难题进行了全面而深入的解答。吴焱生教授重点解答了如下问题:当
,
,则
能否直接用?吴教授回应,如果如下变换
已经讲授给学生了,用等价无穷小代换即为上式,那可以直接用,有些情况可以直接用或者凑指数,例如:
,但是,有的题凑指数比较复杂,例如
,熟悉上面公式的可以直接用。宋来忠教授则针对等价无穷小代换求极限的问题进行了深入剖析,强调了该方法的适用条件和注意事项,并通过具体例题展示了极限运算的规则。例如,拓展了无穷小替换求极限规则,规则1:和差取大规则:若
则
,例如
;规则2:和差代替规则,例如
。

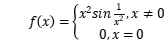
随后,高凌云教授、邢喜莲教授、肖黎明教授细致回应了青年教师们的多项疑问。高教授回应道,对于学有余力的学生,可以推荐同济版教材以深化学习。对于第二个重要极限的证明,他展示了多种推导路径,旨在拓宽教师的思维,以便更好的服务课堂教学。关于激发学生课堂参与度的议题,高教授建议教师可适当的在教室中走动,密切关注学生的学习动态,以适时调整教学策略。最后,针对分段函数在分段点处的导数求解问题,高教授强调了严格遵循定义求解的重要性。以函数
为例,指出若直接对
求导会得到极限不存在的结果,这是错误的做法,因此务必指导学生采用定义法进行准确求解。邢教授就课时安排怎么更加合理、平时上课和复习怎么帮助学生梳理、怎么帮助学生掌握极限证明,微分中值定理证明是否需要简化等问题展开了详尽的解释。她明确指出,平时上课按照大纲和自己节奏出发,合理安排上课时间;极限证明有的题目本身是比较难的,建议可以从最简单的常数的极限证明出发,由简到难;微分中值定理证明较多,建议重点放在拉格朗日中值定理,借助几何图形帮助学生理解几何意义和物理意义,结合具体的实例,拓展定理的应用。


最后,肖教授针对青年教师提出的学生无法理解的一个极限证明问题进行了详尽的示范讲解,为青年教师提供了很好证明思路。此次研讨会不仅促进了青年教师与资深教授之间的交流与互动,还进一步提升了青年教师的教学能力和专业素养,为推动本校数学教学质量的提升奠定了坚实基础。
版权所有:中国·太阳成集团tyc33455(股份有限公司)-Official website
地址:7栋教学楼522 电话:020-87433472